NCERT Solutionss Logo

Class 12 Maths Applications of Derivatives Solution of NCERT

Here We have provided Latest NCERT Solution for Class 12 of Maths for free, Here are some quick information about the same which will be helpful for you to identify the content that is offerend on this page. Based on that you can plan whether you need to read it or not:
Board : CBSE (Central Board of Secondary Education)
Books : NCERT (National counsil of education, research and Training)
Content : Solution
Class : Class 12
Subject : Maths
Langauge : urdu
Chapter : Applications of Derivatives
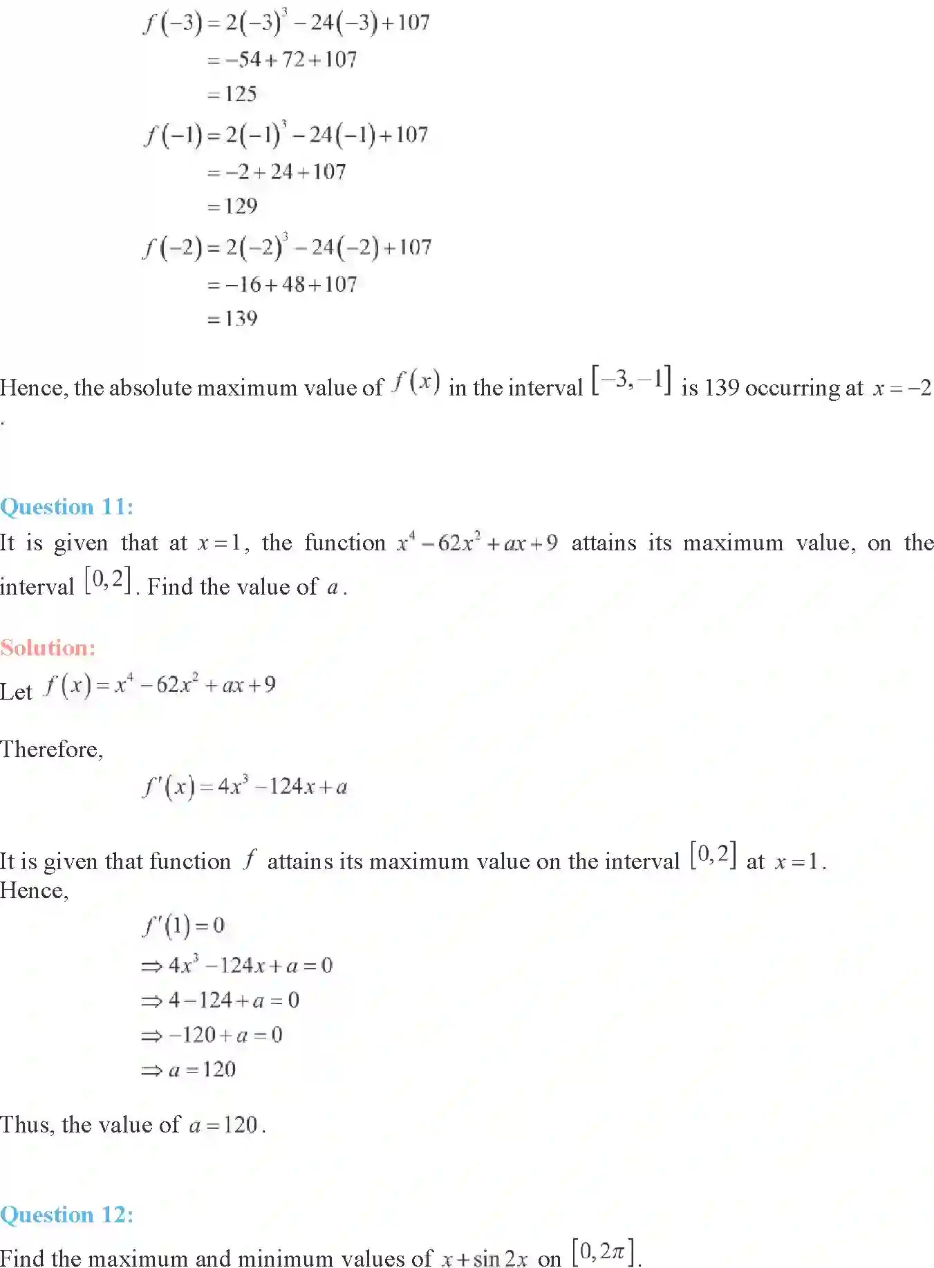
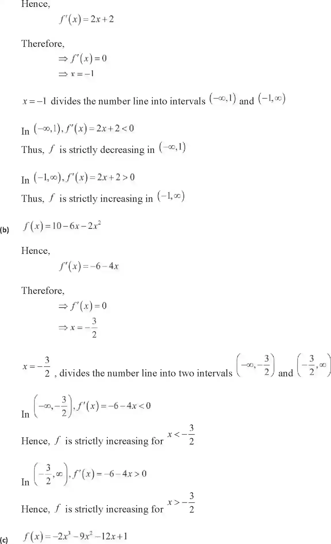
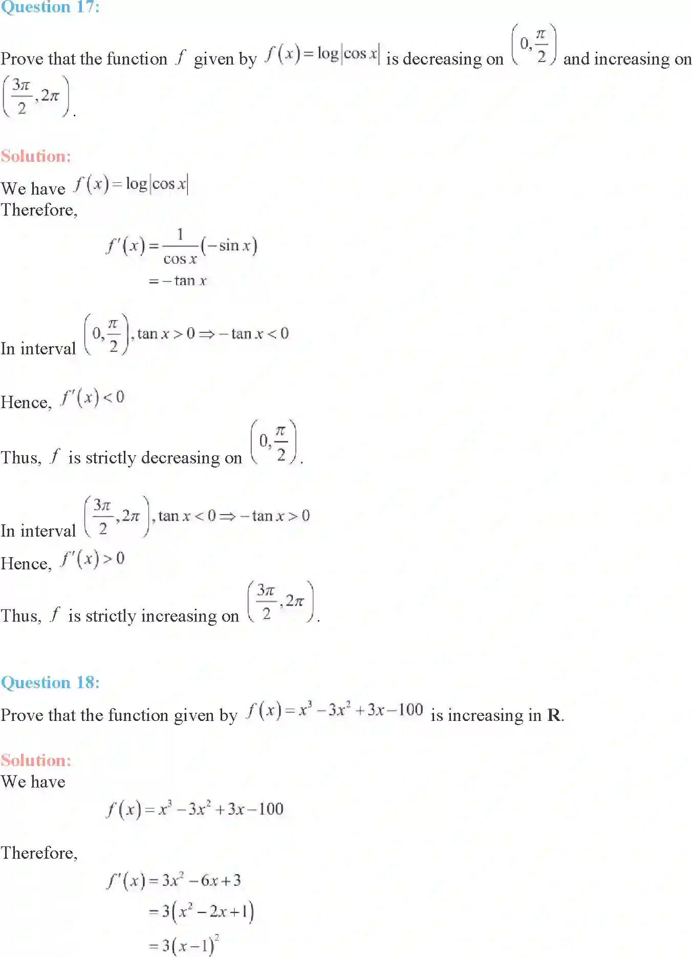
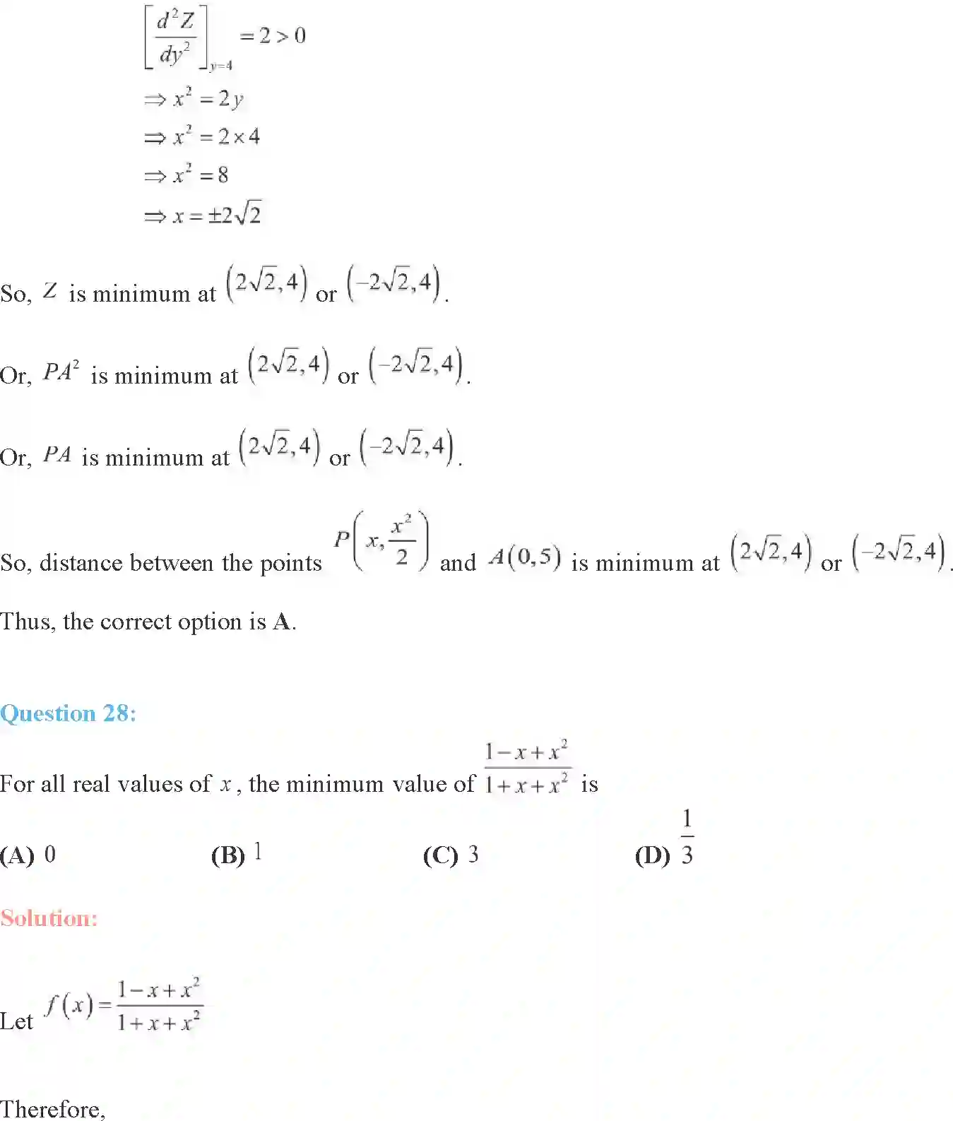
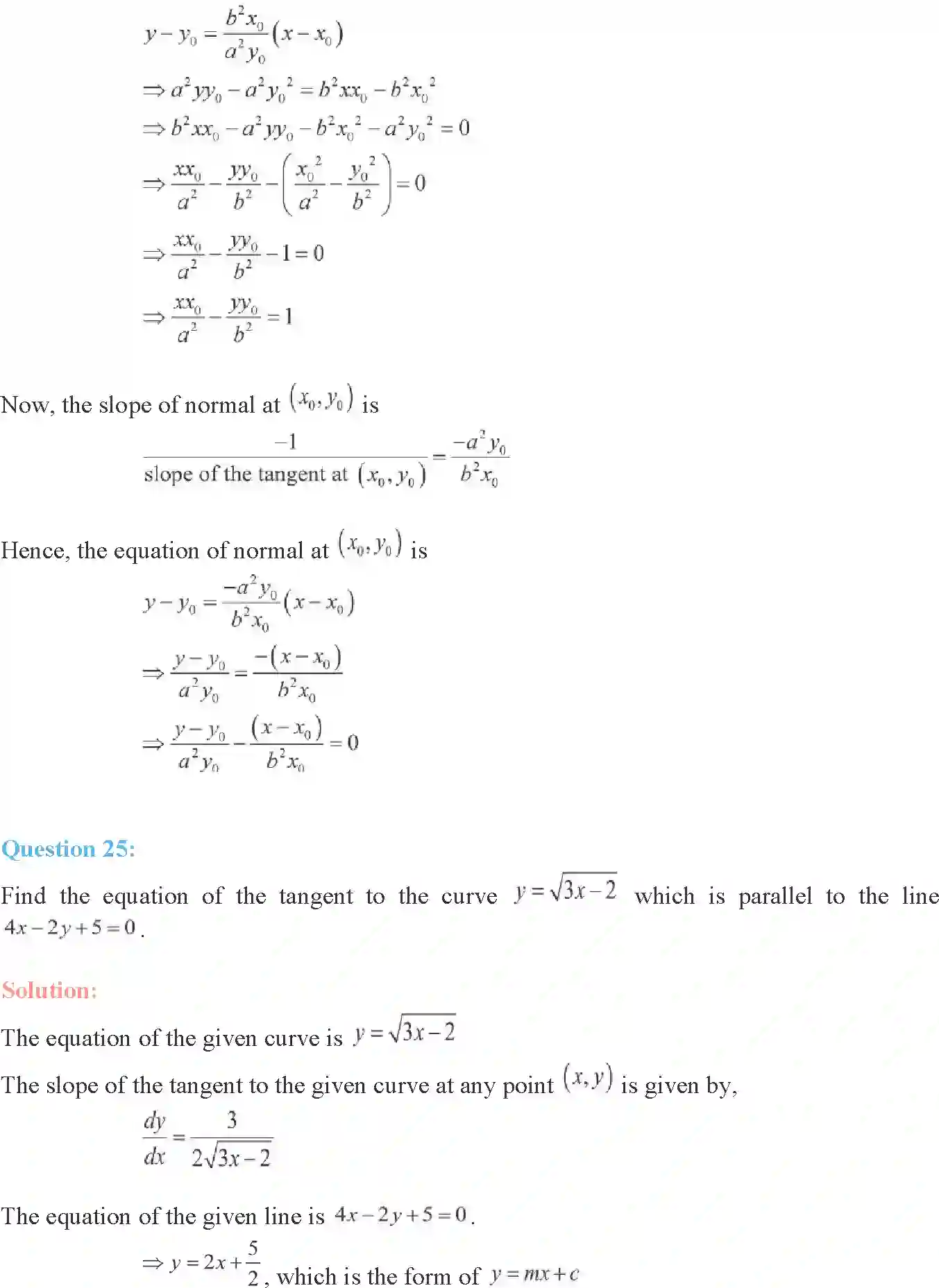
NCERT-Solution-Class-12-Maths-Applications-of-Derivatives-2178-page-1
NCERT-Solution-Class-12-Maths-Applications-of-Derivatives-2178-page-2
NCERT-Solution-Class-12-Maths-Applications-of-Derivatives-2178-page-3
NCERT-Solution-Class-12-Maths-Applications-of-Derivatives-2178-page-4
NCERT-Solution-Class-12-Maths-Applications-of-Derivatives-2178-page-5
NCERT-Solution-Class-12-Maths-Applications-of-Derivatives-2178-page-6
NCERT-Solution-Class-12-Maths-Applications-of-Derivatives-2178-page-7
NCERT-Solution-Class-12-Maths-Applications-of-Derivatives-2178-page-8
NCERT-Solution-Class-12-Maths-Applications-of-Derivatives-2178-page-9
NCERT-Solution-Class-12-Maths-Applications-of-Derivatives-2178-page-10
NCERT-Solution-Class-12-Maths-Applications-of-Derivatives-2178-page-11
NCERT-Solution-Class-12-Maths-Applications-of-Derivatives-2178-page-12
NCERT-Solution-Class-12-Maths-Applications-of-Derivatives-2178-page-13
NCERT-Solution-Class-12-Maths-Applications-of-Derivatives-2178-page-14
NCERT-Solution-Class-12-Maths-Applications-of-Derivatives-2178-page-15
NCERT-Solution-Class-12-Maths-Applications-of-Derivatives-2178-page-16
NCERT-Solution-Class-12-Maths-Applications-of-Derivatives-2178-page-17
NCERT-Solution-Class-12-Maths-Applications-of-Derivatives-2178-page-18
NCERT-Solution-Class-12-Maths-Applications-of-Derivatives-2178-page-19
NCERT-Solution-Class-12-Maths-Applications-of-Derivatives-2178-page-20
NCERT-Solution-Class-12-Maths-Applications-of-Derivatives-2178-page-21
NCERT-Solution-Class-12-Maths-Applications-of-Derivatives-2178-page-22
NCERT-Solution-Class-12-Maths-Applications-of-Derivatives-2178-page-23
NCERT-Solution-Class-12-Maths-Applications-of-Derivatives-2178-page-24
NCERT-Solution-Class-12-Maths-Applications-of-Derivatives-2178-page-25
NCERT-Solution-Class-12-Maths-Applications-of-Derivatives-2178-page-26
NCERT-Solution-Class-12-Maths-Applications-of-Derivatives-2178-page-27
NCERT-Solution-Class-12-Maths-Applications-of-Derivatives-2178-page-28
NCERT-Solution-Class-12-Maths-Applications-of-Derivatives-2178-page-29
NCERT-Solution-Class-12-Maths-Applications-of-Derivatives-2178-page-30
NCERT-Solution-Class-12-Maths-Applications-of-Derivatives-2178-page-31
NCERT-Solution-Class-12-Maths-Applications-of-Derivatives-2178-page-32
NCERT-Solution-Class-12-Maths-Applications-of-Derivatives-2178-page-33
NCERT-Solution-Class-12-Maths-Applications-of-Derivatives-2178-page-34
NCERT-Solution-Class-12-Maths-Applications-of-Derivatives-2178-page-35
NCERT-Solution-Class-12-Maths-Applications-of-Derivatives-2178-page-36
NCERT-Solution-Class-12-Maths-Applications-of-Derivatives-2178-page-37
NCERT-Solution-Class-12-Maths-Applications-of-Derivatives-2178-page-38
NCERT-Solution-Class-12-Maths-Applications-of-Derivatives-2178-page-39
NCERT-Solution-Class-12-Maths-Applications-of-Derivatives-2178-page-40
NCERT-Solution-Class-12-Maths-Applications-of-Derivatives-2178-page-41
NCERT-Solution-Class-12-Maths-Applications-of-Derivatives-2178-page-42
NCERT-Solution-Class-12-Maths-Applications-of-Derivatives-2178-page-43
NCERT-Solution-Class-12-Maths-Applications-of-Derivatives-2178-page-44
NCERT-Solution-Class-12-Maths-Applications-of-Derivatives-2178-page-45
NCERT-Solution-Class-12-Maths-Applications-of-Derivatives-2178-page-46
NCERT-Solution-Class-12-Maths-Applications-of-Derivatives-2178-page-47
NCERT-Solution-Class-12-Maths-Applications-of-Derivatives-2178-page-48
NCERT-Solution-Class-12-Maths-Applications-of-Derivatives-2178-page-49
NCERT-Solution-Class-12-Maths-Applications-of-Derivatives-2178-page-50
NCERT-Solution-Class-12-Maths-Applications-of-Derivatives-2178-page-51
NCERT-Solution-Class-12-Maths-Applications-of-Derivatives-2178-page-52
NCERT-Solution-Class-12-Maths-Applications-of-Derivatives-2178-page-53
NCERT-Solution-Class-12-Maths-Applications-of-Derivatives-2178-page-54
NCERT-Solution-Class-12-Maths-Applications-of-Derivatives-2178-page-55
NCERT-Solution-Class-12-Maths-Applications-of-Derivatives-2178-page-56
NCERT-Solution-Class-12-Maths-Applications-of-Derivatives-2178-page-57
NCERT-Solution-Class-12-Maths-Applications-of-Derivatives-2178-page-58
NCERT-Solution-Class-12-Maths-Applications-of-Derivatives-2178-page-59
NCERT-Solution-Class-12-Maths-Applications-of-Derivatives-2178-page-60
NCERT-Solution-Class-12-Maths-Applications-of-Derivatives-2178-page-61
NCERT-Solution-Class-12-Maths-Applications-of-Derivatives-2178-page-62
NCERT-Solution-Class-12-Maths-Applications-of-Derivatives-2178-page-63
NCERT-Solution-Class-12-Maths-Applications-of-Derivatives-2178-page-64
NCERT-Solution-Class-12-Maths-Applications-of-Derivatives-2178-page-65
NCERT-Solution-Class-12-Maths-Applications-of-Derivatives-2178-page-66
NCERT-Solution-Class-12-Maths-Applications-of-Derivatives-2178-page-67
NCERT-Solution-Class-12-Maths-Applications-of-Derivatives-2178-page-68
NCERT-Solution-Class-12-Maths-Applications-of-Derivatives-2178-page-69
NCERT-Solution-Class-12-Maths-Applications-of-Derivatives-2178-page-70
NCERT-Solution-Class-12-Maths-Applications-of-Derivatives-2178-page-71
NCERT-Solution-Class-12-Maths-Applications-of-Derivatives-2178-page-72
NCERT-Solution-Class-12-Maths-Applications-of-Derivatives-2178-page-73
NCERT-Solution-Class-12-Maths-Applications-of-Derivatives-2178-page-74
NCERT-Solution-Class-12-Maths-Applications-of-Derivatives-2178-page-75
NCERT-Solution-Class-12-Maths-Applications-of-Derivatives-2178-page-76
NCERT-Solution-Class-12-Maths-Applications-of-Derivatives-2178-page-77
NCERT-Solution-Class-12-Maths-Applications-of-Derivatives-2178-page-78
NCERT-Solution-Class-12-Maths-Applications-of-Derivatives-2178-page-79
NCERT-Solution-Class-12-Maths-Applications-of-Derivatives-2178-page-80
NCERT-Solution-Class-12-Maths-Applications-of-Derivatives-2178-page-81
NCERT-Solution-Class-12-Maths-Applications-of-Derivatives-2178-page-82
NCERT-Solution-Class-12-Maths-Applications-of-Derivatives-2178-page-83
NCERT-Solution-Class-12-Maths-Applications-of-Derivatives-2178-page-84
NCERT-Solution-Class-12-Maths-Applications-of-Derivatives-2178-page-85
NCERT-Solution-Class-12-Maths-Applications-of-Derivatives-2178-page-86
NCERT-Solution-Class-12-Maths-Applications-of-Derivatives-2178-page-87
NCERT-Solution-Class-12-Maths-Applications-of-Derivatives-2178-page-88
NCERT-Solution-Class-12-Maths-Applications-of-Derivatives-2178-page-89
NCERT-Solution-Class-12-Maths-Applications-of-Derivatives-2178-page-90
NCERT-Solution-Class-12-Maths-Applications-of-Derivatives-2178-page-91
NCERT-Solution-Class-12-Maths-Applications-of-Derivatives-2178-page-92
NCERT-Solution-Class-12-Maths-Applications-of-Derivatives-2178-page-93
NCERT-Solution-Class-12-Maths-Applications-of-Derivatives-2178-page-94
NCERT-Solution-Class-12-Maths-Applications-of-Derivatives-2178-page-95
NCERT-Solution-Class-12-Maths-Applications-of-Derivatives-2178-page-96
NCERT-Solution-Class-12-Maths-Applications-of-Derivatives-2178-page-97
NCERT-Solution-Class-12-Maths-Applications-of-Derivatives-2178-page-98
NCERT-Solution-Class-12-Maths-Applications-of-Derivatives-2178-page-99
NCERT-Solution-Class-12-Maths-Applications-of-Derivatives-2178-page-100
NCERT-Solution-Class-12-Maths-Applications-of-Derivatives-2178-page-101
NCERT-Solution-Class-12-Maths-Applications-of-Derivatives-2178-page-102
NCERT-Solution-Class-12-Maths-Applications-of-Derivatives-2178-page-103
NCERT-Solution-Class-12-Maths-Applications-of-Derivatives-2178-page-104
NCERT-Solution-Class-12-Maths-Applications-of-Derivatives-2178-page-105
NCERT-Solution-Class-12-Maths-Applications-of-Derivatives-2178-page-106
NCERT-Solution-Class-12-Maths-Applications-of-Derivatives-2178-page-107
NCERT-Solution-Class-12-Maths-Applications-of-Derivatives-2178-page-108
NCERT-Solution-Class-12-Maths-Applications-of-Derivatives-2178-page-109
NCERT-Solution-Class-12-Maths-Applications-of-Derivatives-2178-page-110
NCERT-Solution-Class-12-Maths-Applications-of-Derivatives-2178-page-111
NCERT-Solution-Class-12-Maths-Applications-of-Derivatives-2178-page-112
NCERT-Solution-Class-12-Maths-Applications-of-Derivatives-2178-page-113
NCERT-Solution-Class-12-Maths-Applications-of-Derivatives-2178-page-114
NCERT-Solution-Class-12-Maths-Applications-of-Derivatives-2178-page-115
NCERT-Solution-Class-12-Maths-Applications-of-Derivatives-2178-page-116
NCERT-Solution-Class-12-Maths-Applications-of-Derivatives-2178-page-117
NCERT-Solution-Class-12-Maths-Applications-of-Derivatives-2178-page-118
NCERT-Solution-Class-12-Maths-Applications-of-Derivatives-2178-page-119
NCERT-Solution-Class-12-Maths-Applications-of-Derivatives-2178-page-120
NCERT-Solution-Class-12-Maths-Applications-of-Derivatives-2178-page-121
NCERT-Solution-Class-12-Maths-Applications-of-Derivatives-2178-page-122
NCERT-Solution-Class-12-Maths-Applications-of-Derivatives-2178-page-123
NCERT-Solution-Class-12-Maths-Applications-of-Derivatives-2178-page-124
NCERT-Solution-Class-12-Maths-Applications-of-Derivatives-2178-page-125
NCERT-Solution-Class-12-Maths-Applications-of-Derivatives-2178-page-126
NCERT-Solution-Class-12-Maths-Applications-of-Derivatives-2178-page-127
NCERT-Solution-Class-12-Maths-Applications-of-Derivatives-2178-page-128
NCERT-Solution-Class-12-Maths-Applications-of-Derivatives-2178-page-129
NCERT-Solution-Class-12-Maths-Applications-of-Derivatives-2178-page-130
NCERT-Solution-Class-12-Maths-Applications-of-Derivatives-2178-page-131
NCERT-Solution-Class-12-Maths-Applications-of-Derivatives-2178-page-132
NCERT-Solution-Class-12-Maths-Applications-of-Derivatives-2178-page-133
NCERT-Solution-Class-12-Maths-Applications-of-Derivatives-2178-page-134
NCERT-Solution-Class-12-Maths-Applications-of-Derivatives-2178-page-135
NCERT-Solution-Class-12-Maths-Applications-of-Derivatives-2178-page-136
NCERT-Solution-Class-12-Maths-Applications-of-Derivatives-2178-page-137
NCERT-Solution-Class-12-Maths-Applications-of-Derivatives-2178-page-138
NCERT-Solution-Class-12-Maths-Applications-of-Derivatives-2178-page-139
NCERT-Solution-Class-12-Maths-Applications-of-Derivatives-2178-page-140
NCERT-Solution-Class-12-Maths-Applications-of-Derivatives-2178-page-141
NCERT-Solution-Class-12-Maths-Applications-of-Derivatives-2178-page-142
NCERT-Solution-Class-12-Maths-Applications-of-Derivatives-2178-page-143
NCERT-Solution-Class-12-Maths-Applications-of-Derivatives-2178-page-144
NCERT-Solution-Class-12-Maths-Applications-of-Derivatives-2178-page-145
NCERT-Solution-Class-12-Maths-Applications-of-Derivatives-2178-page-146
NCERT-Solution-Class-12-Maths-Applications-of-Derivatives-2178-page-147
NCERT-Solution-Class-12-Maths-Applications-of-Derivatives-2178-page-148
NCERT-Solution-Class-12-Maths-Applications-of-Derivatives-2178-page-149
NCERT-Solution-Class-12-Maths-Applications-of-Derivatives-2178-page-150
NCERT-Solution-Class-12-Maths-Applications-of-Derivatives-2178-page-151
NCERT-Solution-Class-12-Maths-Applications-of-Derivatives-2178-page-152
NCERT-Solution-Class-12-Maths-Applications-of-Derivatives-2178-page-153
NCERT-Solution-Class-12-Maths-Applications-of-Derivatives-2178-page-154
NCERT-Solution-Class-12-Maths-Applications-of-Derivatives-2178-page-155
NCERT-Solution-Class-12-Maths-Applications-of-Derivatives-2178-page-156
NCERT-Solution-Class-12-Maths-Applications-of-Derivatives-2178-page-157
NCERT-Solution-Class-12-Maths-Applications-of-Derivatives-2178-page-158
NCERT-Solution-Class-12-Maths-Applications-of-Derivatives-2178-page-159
NCERT-Solution-Class-12-Maths-Applications-of-Derivatives-2178-page-160
NCERT-Solution-Class-12-Maths-Applications-of-Derivatives-2178-page-161
NCERT-Solution-Class-12-Maths-Applications-of-Derivatives-2178-page-162
NCERT-Solution-Class-12-Maths-Applications-of-Derivatives-2178-page-163
NCERT-Solution-Class-12-Maths-Applications-of-Derivatives-2178-page-164
NCERT-Solution-Class-12-Maths-Applications-of-Derivatives-2178-page-165
NCERT-Solution-Class-12-Maths-Applications-of-Derivatives-2178-page-166
NCERT-Solution-Class-12-Maths-Applications-of-Derivatives-2178-page-167

Other Chapters solutions of Class 12 Maths of NCERT

Here are other chapters available for study and download for students of Class 12 for Maths subject, click the link below to access the same:
Relations and Functions
Inverse Trigonometric Functions
Matrices
Determinants
Continuity and Differentiability
Applications of Derivatives
Integrals
Applications of Integrals
Differential Equations
Vector Algebra
Three dimensional Geometry
Linear Programming
Probability

Share a Word about Us

Facebook Twitter Whatsapp

;