NCERT Solutionss Logo

Class 11 Maths Exemplar Binomial Theorem Solution of NCERT

Here We have provided Latest NCERT Solution for Class 11 of Maths Exemplar for free, Here are some quick information about the same which will be helpful for you to identify the content that is offerend on this page. Based on that you can plan whether you need to read it or not:
Board : CBSE (Central Board of Secondary Education)
Books : NCERT (National counsil of education, research and Training)
Content : Solution
Class : Class 11
Subject : Maths Exemplar
Langauge : urdu
Chapter : Binomial Theorem
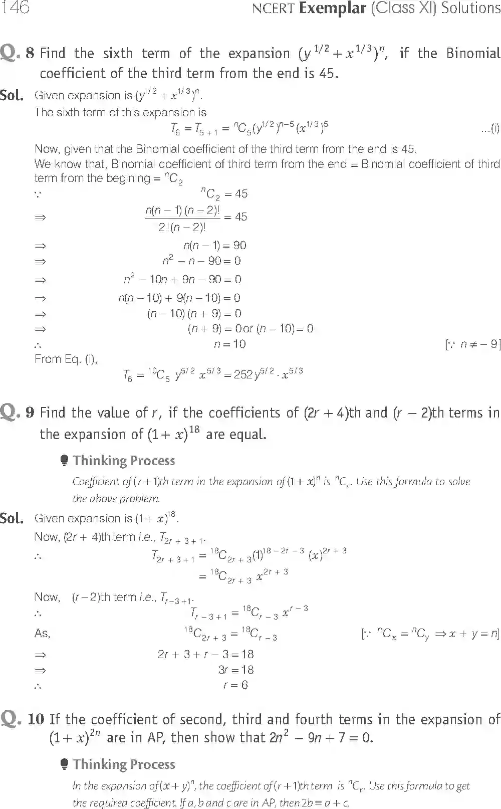
NCERT-Solution-Class-11-Maths-Exemplar-Binomial-Theorem-2895-page-1
NCERT-Solution-Class-11-Maths-Exemplar-Binomial-Theorem-2895-page-2
NCERT-Solution-Class-11-Maths-Exemplar-Binomial-Theorem-2895-page-3
NCERT-Solution-Class-11-Maths-Exemplar-Binomial-Theorem-2895-page-4
NCERT-Solution-Class-11-Maths-Exemplar-Binomial-Theorem-2895-page-5
NCERT-Solution-Class-11-Maths-Exemplar-Binomial-Theorem-2895-page-6
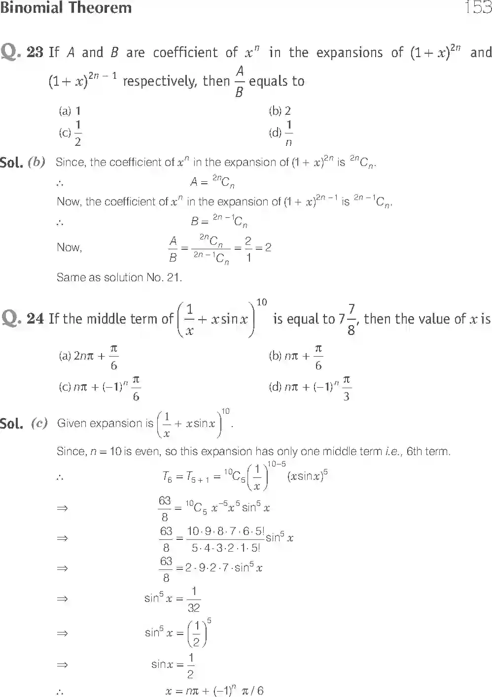
NCERT-Solution-Class-11-Maths-Exemplar-Binomial-Theorem-2895-page-7
NCERT-Solution-Class-11-Maths-Exemplar-Binomial-Theorem-2895-page-8
NCERT-Solution-Class-11-Maths-Exemplar-Binomial-Theorem-2895-page-9
NCERT-Solution-Class-11-Maths-Exemplar-Binomial-Theorem-2895-page-10
NCERT-Solution-Class-11-Maths-Exemplar-Binomial-Theorem-2895-page-11
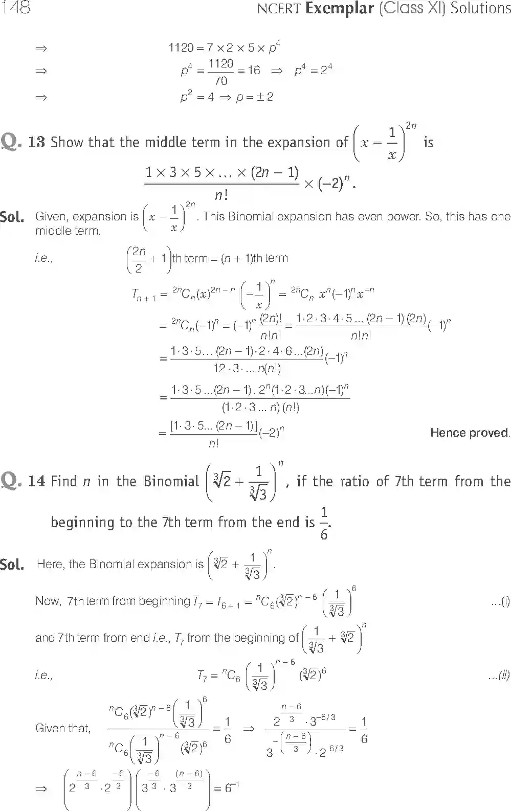
NCERT-Solution-Class-11-Maths-Exemplar-Binomial-Theorem-2895-page-12
NCERT-Solution-Class-11-Maths-Exemplar-Binomial-Theorem-2895-page-13
NCERT-Solution-Class-11-Maths-Exemplar-Binomial-Theorem-2895-page-14
NCERT-Solution-Class-11-Maths-Exemplar-Binomial-Theorem-2895-page-15
NCERT-Solution-Class-11-Maths-Exemplar-Binomial-Theorem-2895-page-16

Other Chapters solutions of Class 11 Maths Exemplar of NCERT

Here are other chapters available for study and download for students of Class 11 for Maths Exemplar subject, click the link below to access the same:
Sets
Relations And Functions
Trignometric Functions
Principle of Mathematical Induction
Complex Numbers And Quadratic Equations
Linear Inequalities
Permutations and Combinations
Binomial Theorem
Sequence And Series
Straight Lines
Conic Sections
Introduction To Three Dimensional Geometry
Limits And Derivatives
Mathematicals Reasoning
Statistics
Probability

Share a Word about Us

Facebook Twitter Whatsapp

;