NCERT Solutionss Logo

Class 10 Maths (Exemplar) Polynomial Solution of NCERT

Here We have provided Latest NCERT Solution for Class 10 of Maths (Exemplar) for free, Here are some quick information about the same which will be helpful for you to identify the content that is offerend on this page. Based on that you can plan whether you need to read it or not:
Board : CBSE (Central Board of Secondary Education)
Books : NCERT (National counsil of education, research and Training)
Content : Solution
Class : Class 10
Subject : Maths (Exemplar)
Langauge : urdu
Chapter : Polynomial
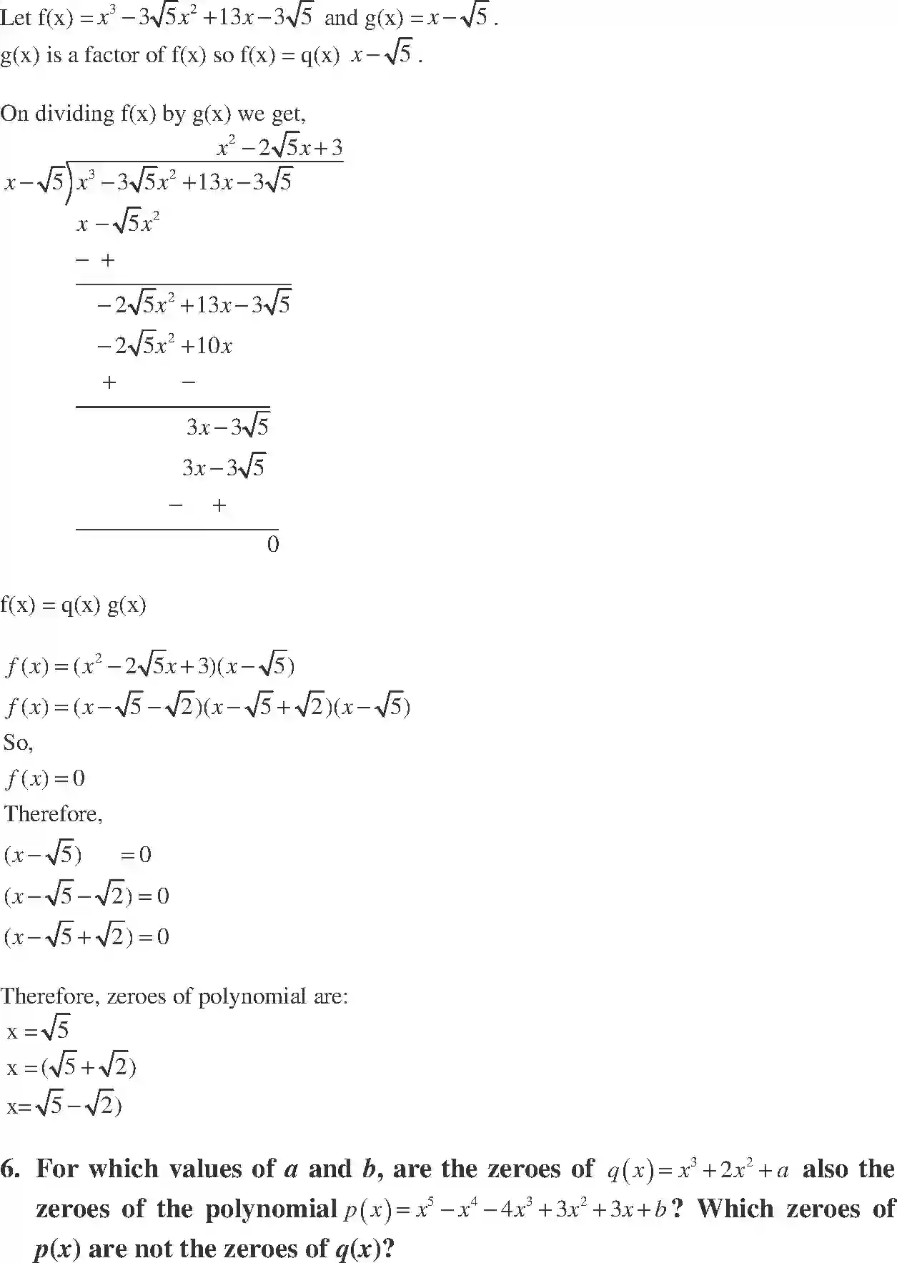
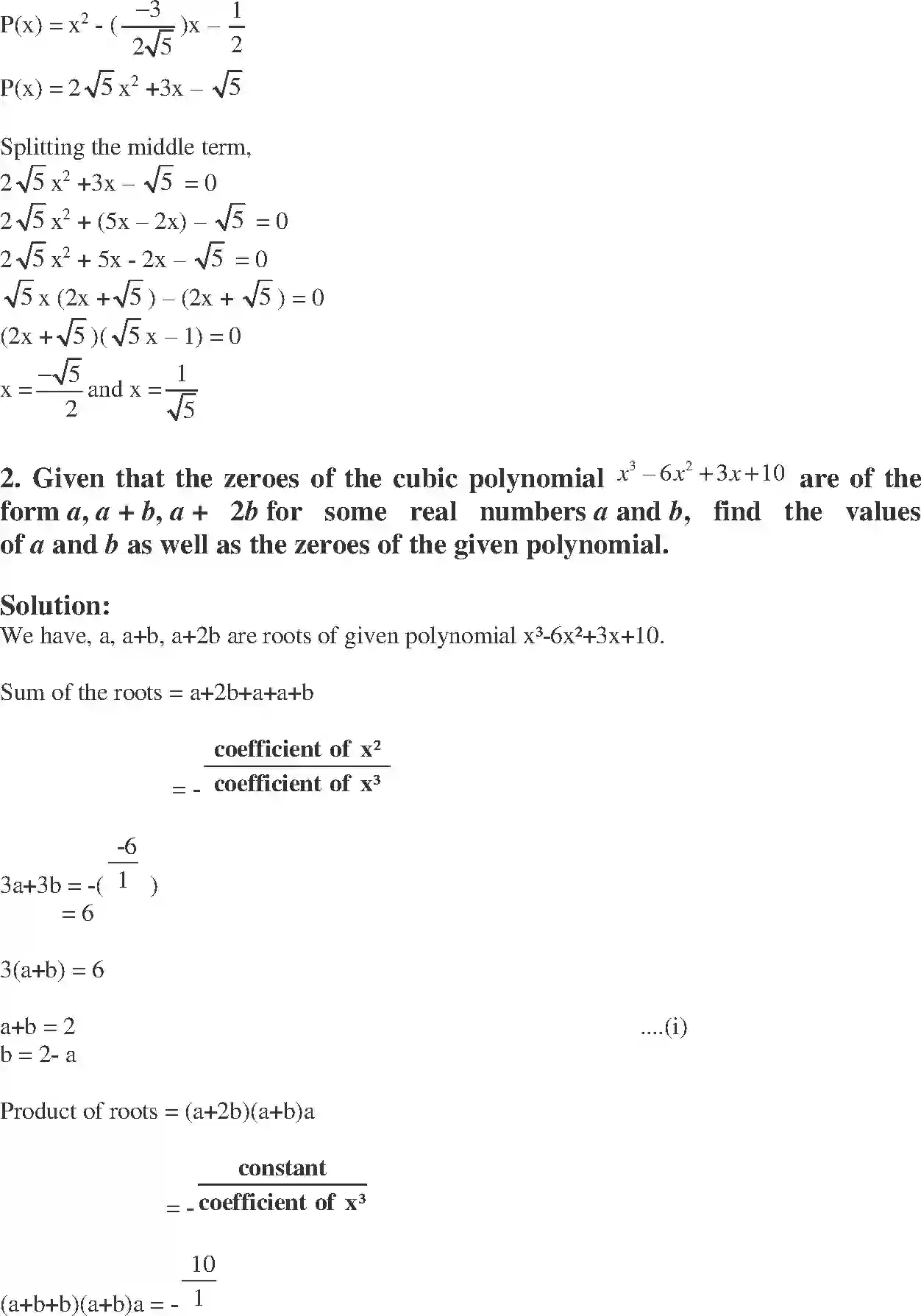
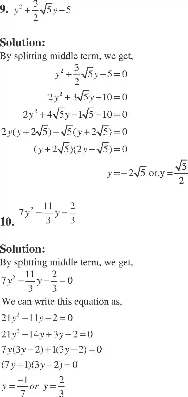
NCERT-Solution-Class-10-Maths-Exemplar-Polynomial-3135-page-1
NCERT-Solution-Class-10-Maths-Exemplar-Polynomial-3135-page-2
NCERT-Solution-Class-10-Maths-Exemplar-Polynomial-3135-page-3
NCERT-Solution-Class-10-Maths-Exemplar-Polynomial-3135-page-4
NCERT-Solution-Class-10-Maths-Exemplar-Polynomial-3135-page-5
NCERT-Solution-Class-10-Maths-Exemplar-Polynomial-3135-page-6
NCERT-Solution-Class-10-Maths-Exemplar-Polynomial-3135-page-7
NCERT-Solution-Class-10-Maths-Exemplar-Polynomial-3135-page-8
NCERT-Solution-Class-10-Maths-Exemplar-Polynomial-3135-page-9
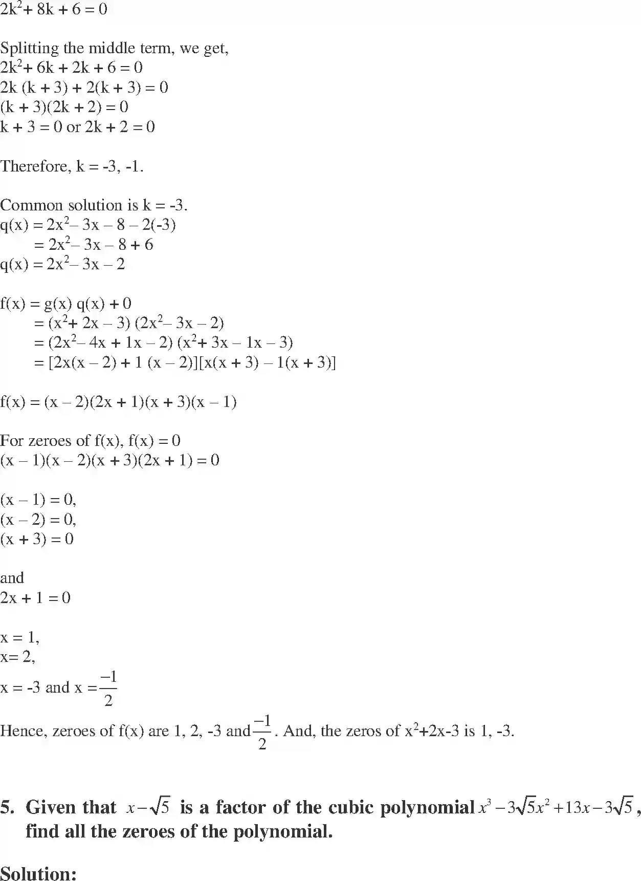
NCERT-Solution-Class-10-Maths-Exemplar-Polynomial-3135-page-10
NCERT-Solution-Class-10-Maths-Exemplar-Polynomial-3135-page-11
NCERT-Solution-Class-10-Maths-Exemplar-Polynomial-3135-page-12
NCERT-Solution-Class-10-Maths-Exemplar-Polynomial-3135-page-13
NCERT-Solution-Class-10-Maths-Exemplar-Polynomial-3135-page-14
NCERT-Solution-Class-10-Maths-Exemplar-Polynomial-3135-page-15
NCERT-Solution-Class-10-Maths-Exemplar-Polynomial-3135-page-16
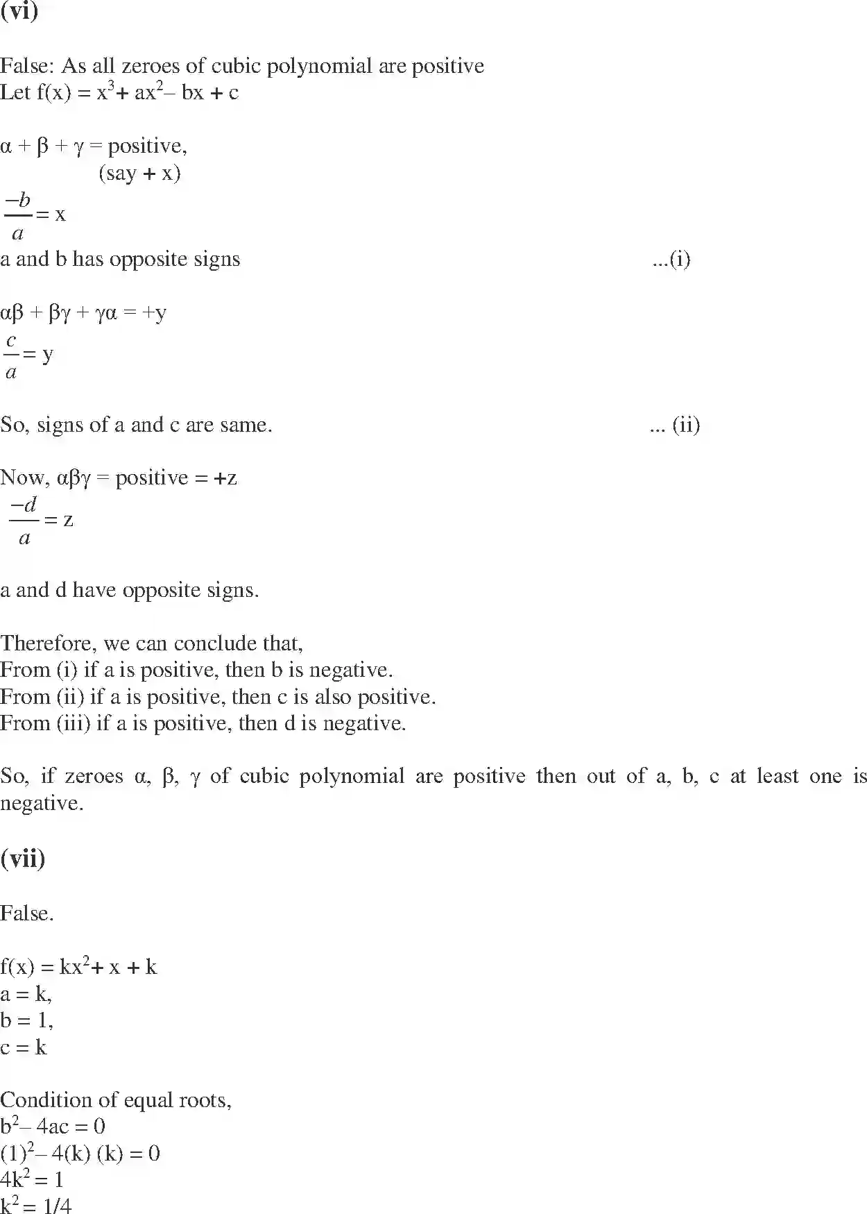
NCERT-Solution-Class-10-Maths-Exemplar-Polynomial-3135-page-17
NCERT-Solution-Class-10-Maths-Exemplar-Polynomial-3135-page-18
NCERT-Solution-Class-10-Maths-Exemplar-Polynomial-3135-page-19
NCERT-Solution-Class-10-Maths-Exemplar-Polynomial-3135-page-20
NCERT-Solution-Class-10-Maths-Exemplar-Polynomial-3135-page-21
NCERT-Solution-Class-10-Maths-Exemplar-Polynomial-3135-page-22
NCERT-Solution-Class-10-Maths-Exemplar-Polynomial-3135-page-23
NCERT-Solution-Class-10-Maths-Exemplar-Polynomial-3135-page-24
NCERT-Solution-Class-10-Maths-Exemplar-Polynomial-3135-page-25
NCERT-Solution-Class-10-Maths-Exemplar-Polynomial-3135-page-26
NCERT-Solution-Class-10-Maths-Exemplar-Polynomial-3135-page-27
NCERT-Solution-Class-10-Maths-Exemplar-Polynomial-3135-page-28
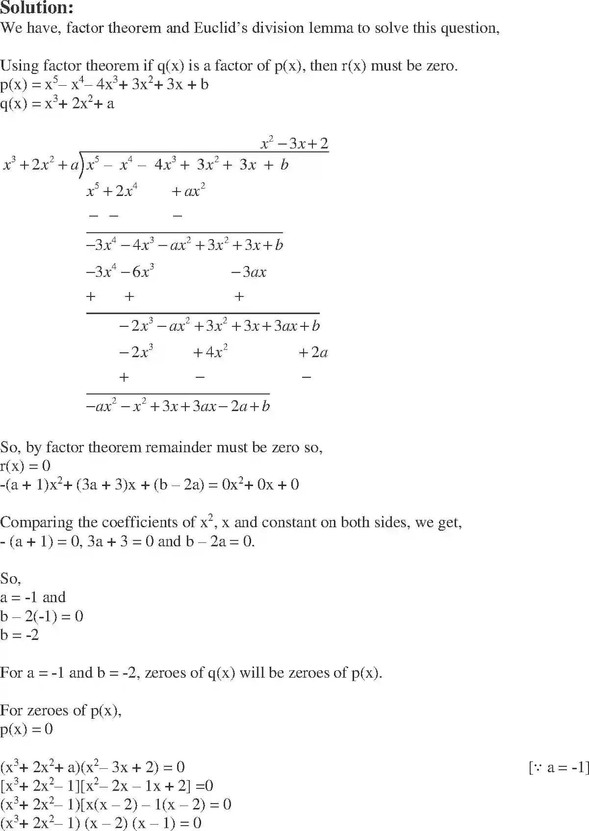
NCERT-Solution-Class-10-Maths-Exemplar-Polynomial-3135-page-29
NCERT-Solution-Class-10-Maths-Exemplar-Polynomial-3135-page-30

Other Chapters solutions of Class 10 Maths (Exemplar) of NCERT

Here are other chapters available for study and download for students of Class 10 for Maths (Exemplar) subject, click the link below to access the same:
Real Number
Polynomial
Pair of Linear Equation in Two Variables
Quadratic Equations
Arithmetic Progressions
Triangles
Coordinate Geometry
Introduction to Trigonometry and its Equation
Circles
Construction
Area Related To Circles
Surface Areas and Volumes
Statistics and Probability

Share a Word about Us

Facebook Twitter Whatsapp

;