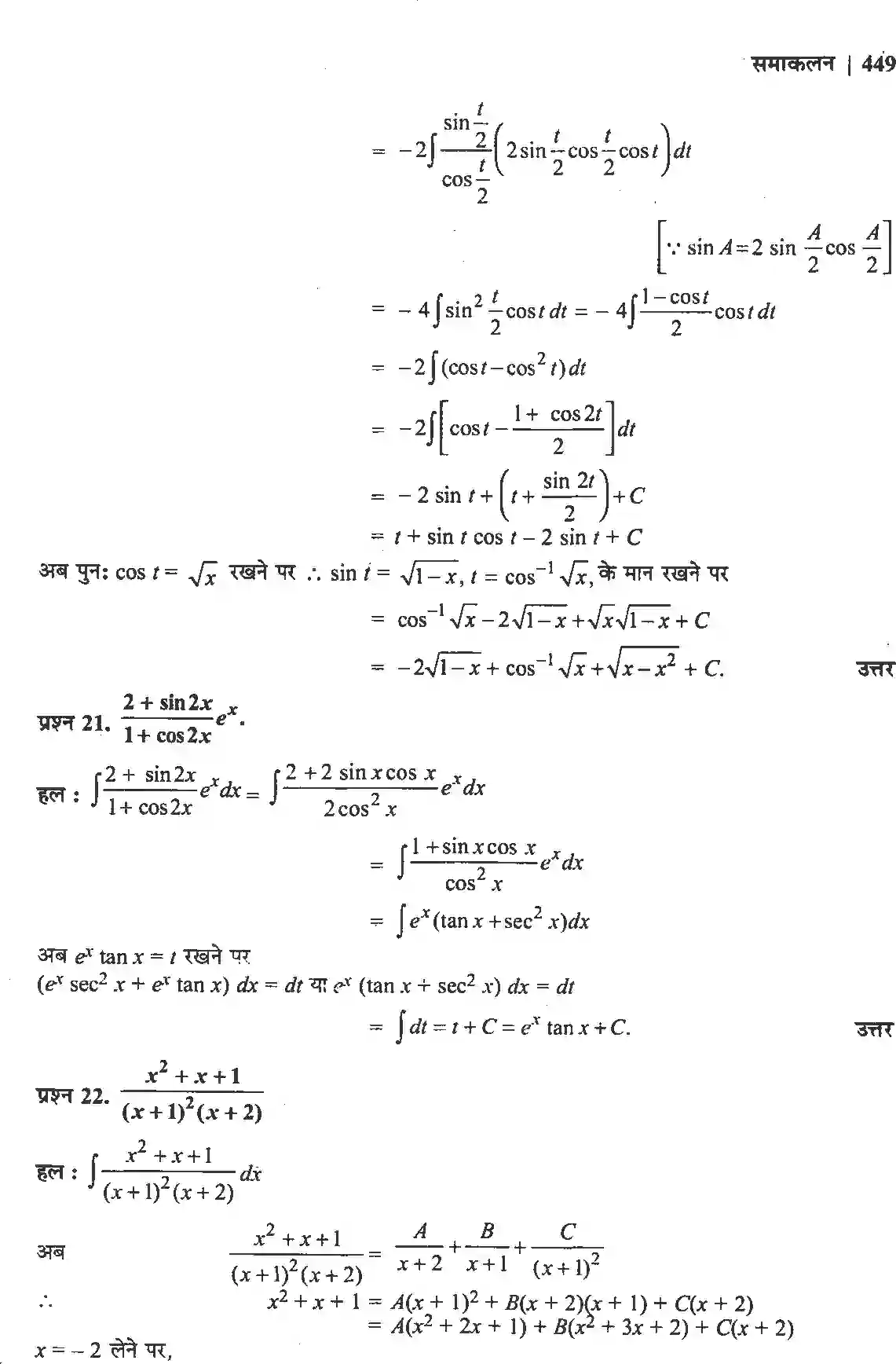
NCERT Solutionss Logo

Class 12 गणितII समाकलन Solution of NCERT

Here We have provided Latest NCERT Solution for Class 12 of गणितII for free, Here are some quick information about the same which will be helpful for you to identify the content that is offerend on this page. Based on that you can plan whether you need to read it or not:
Board : CBSE (Central Board of Secondary Education)
Books : NCERT (National counsil of education, research and Training)
Content : Solution
Class : Class 12
Subject : गणितII
Langauge : hindi
Chapter : समाकलन
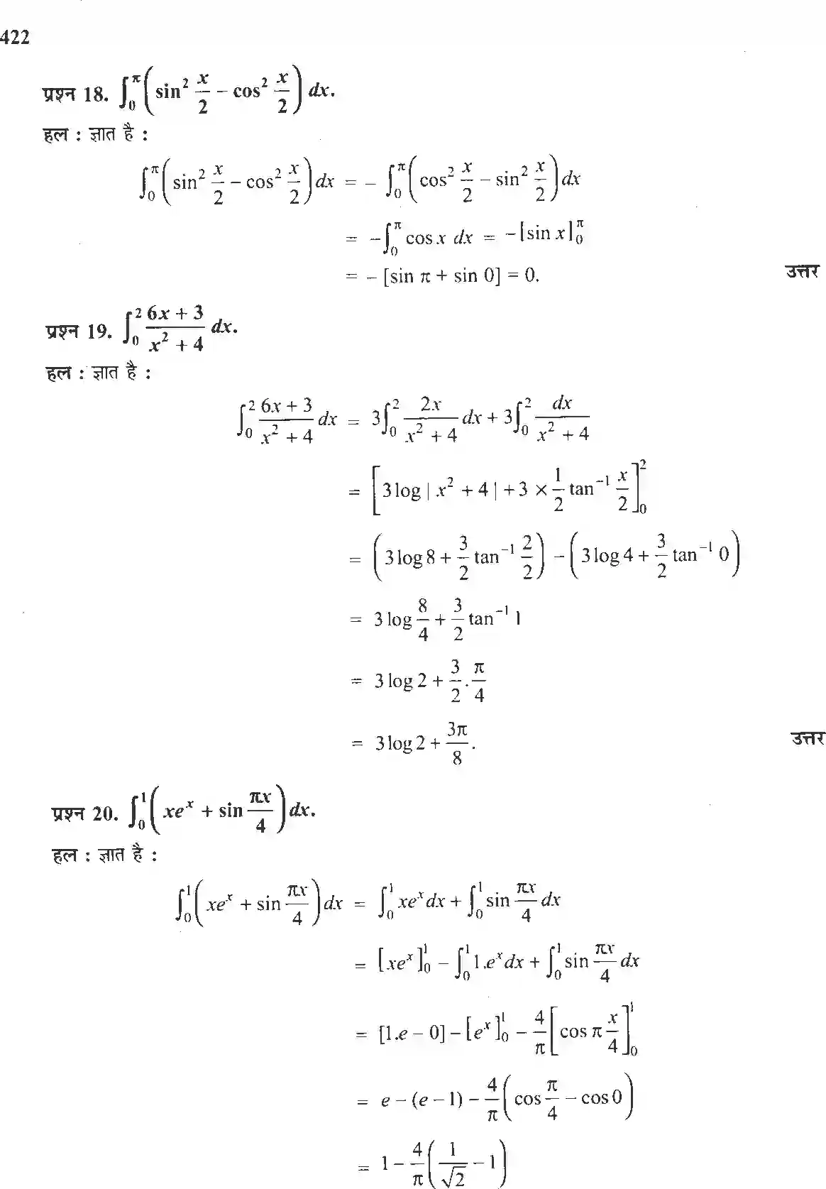
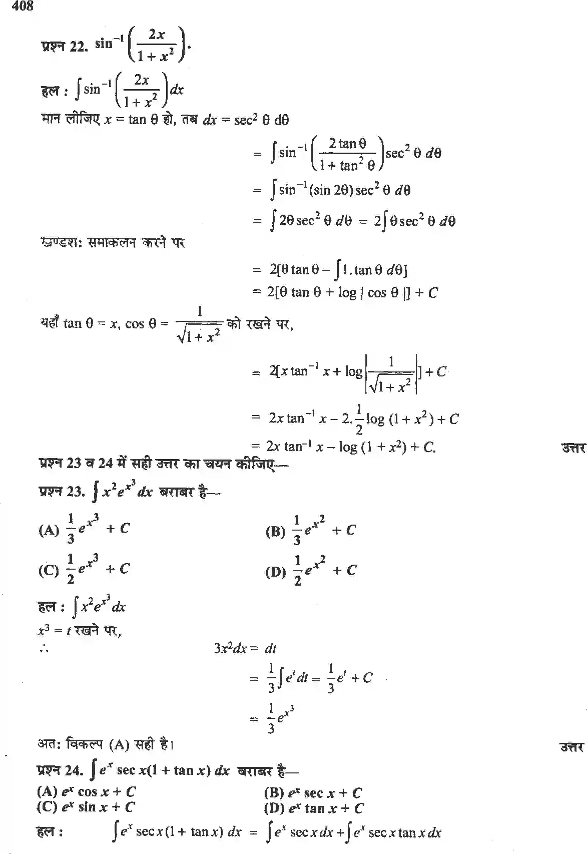
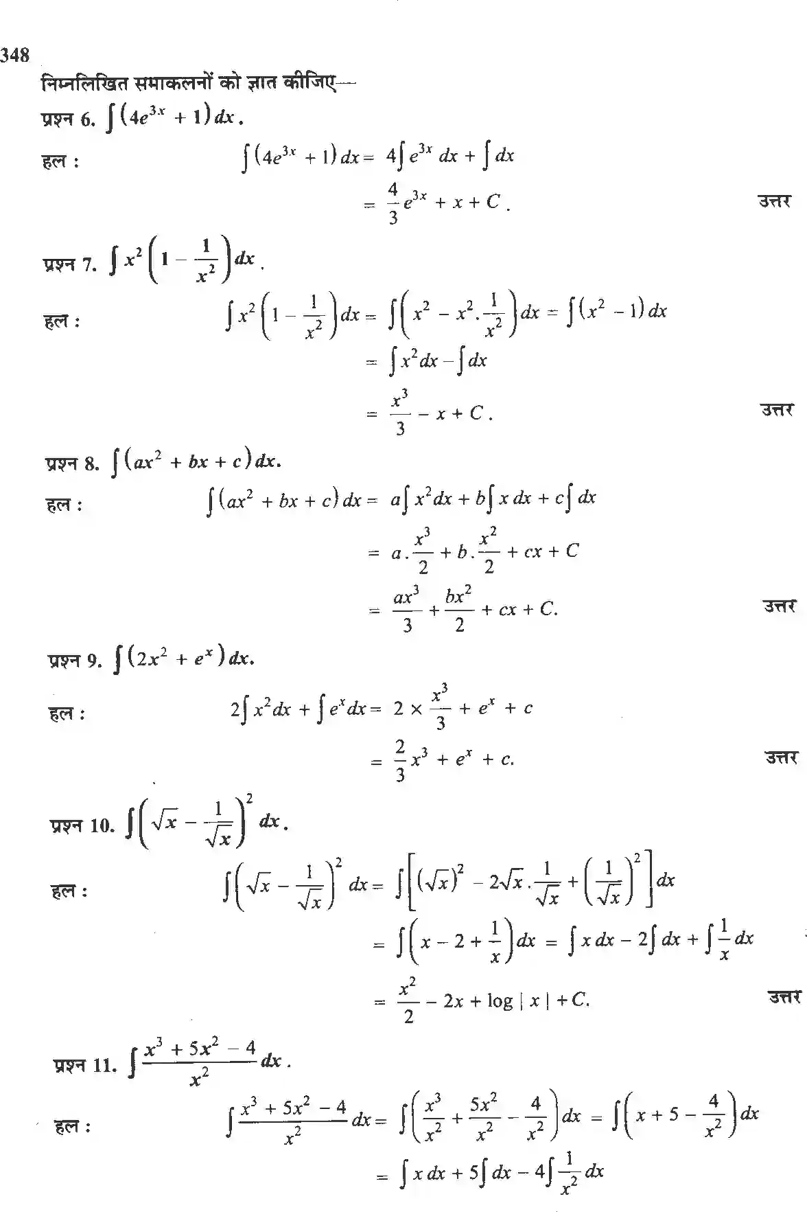
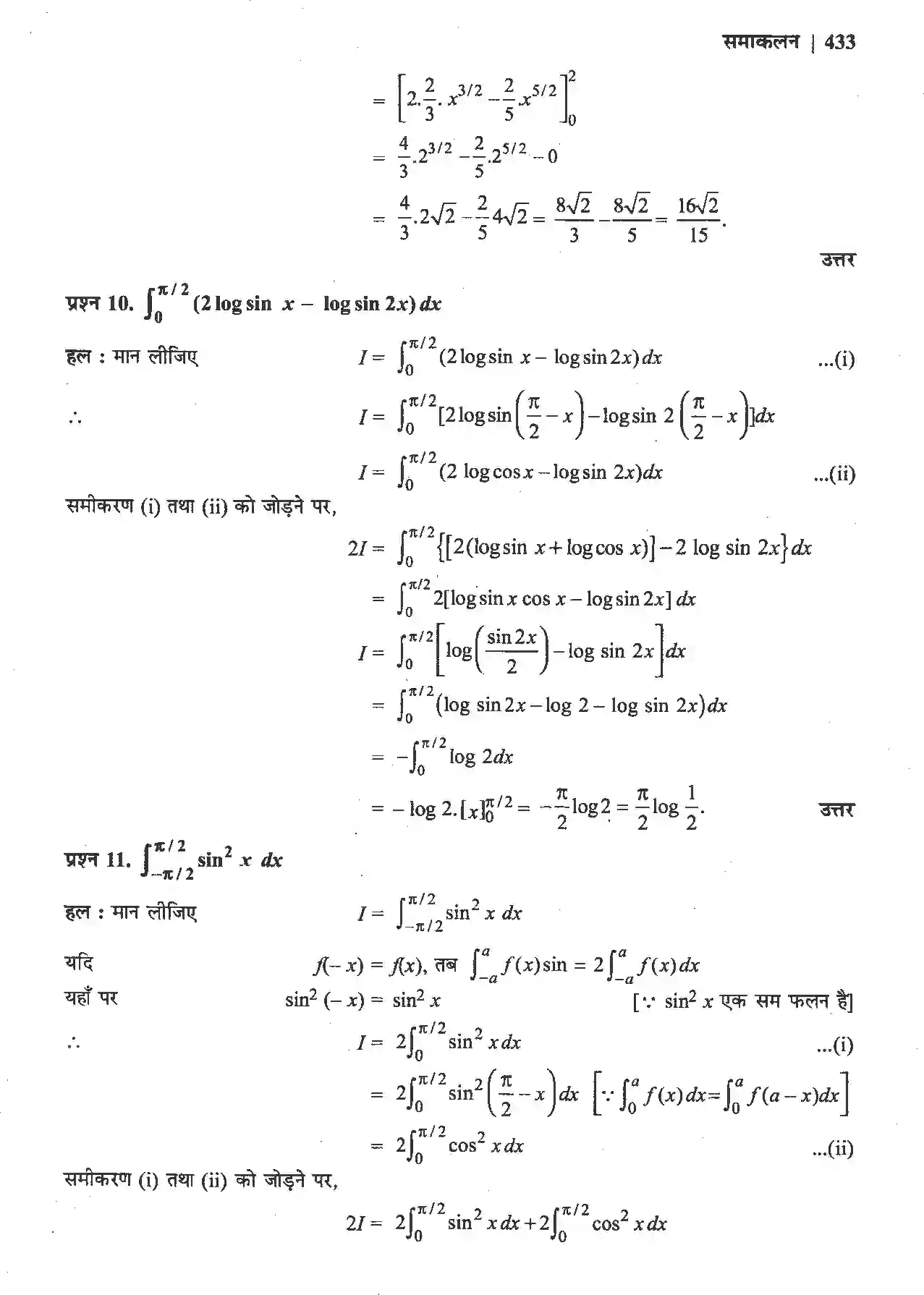
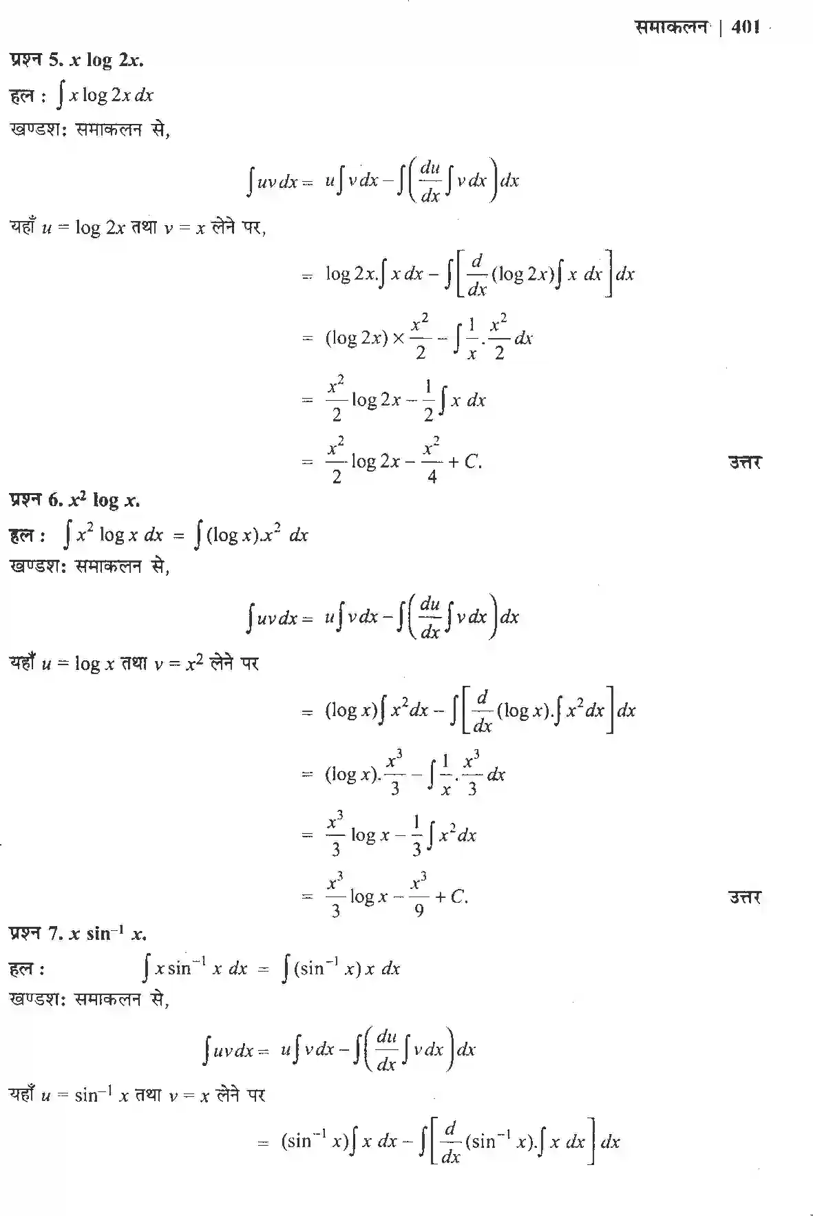
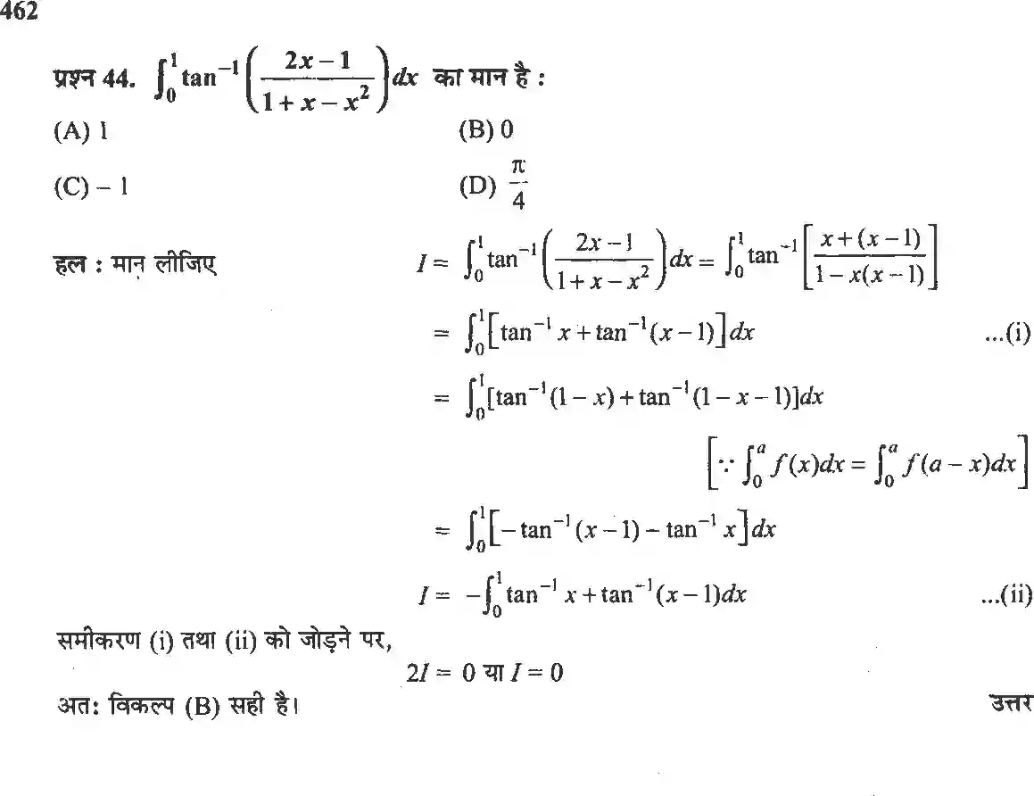
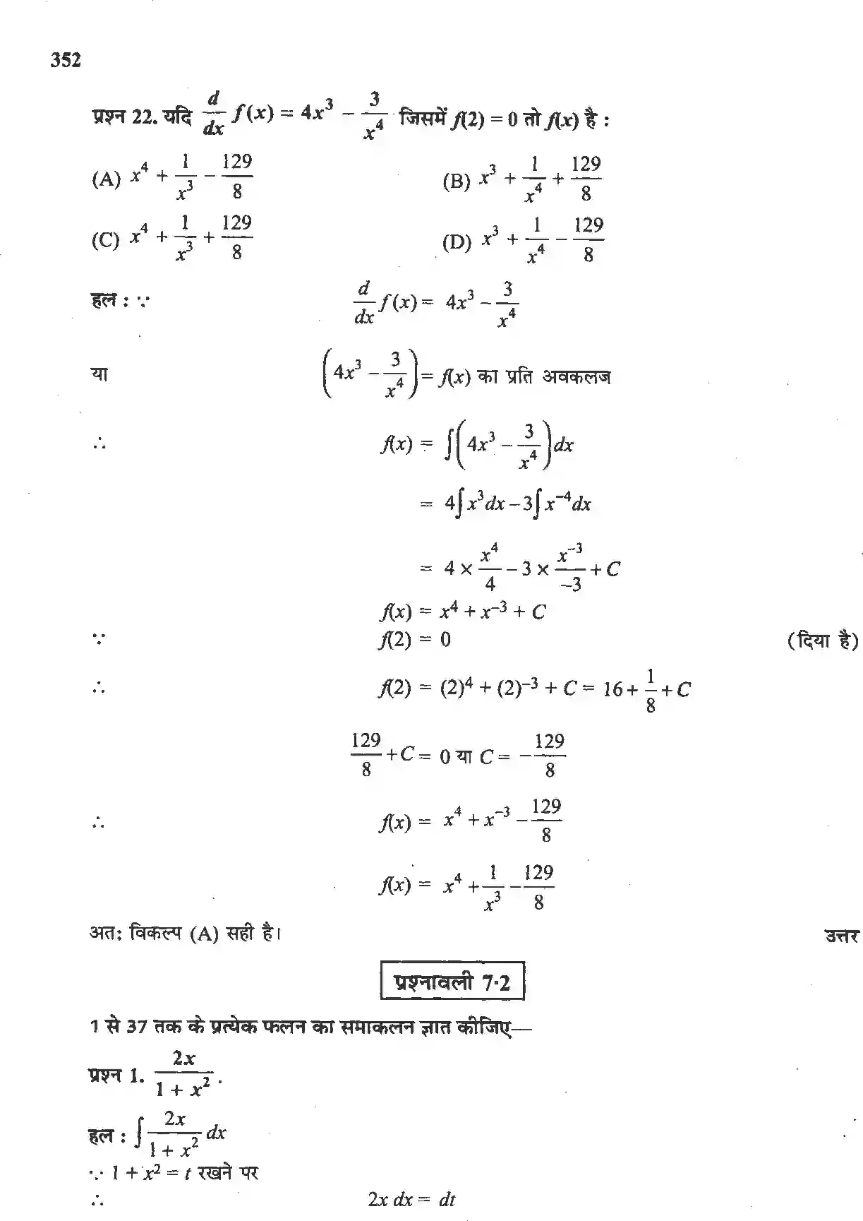
NCERT-Solution-Class-12-गणितII-समाकलन-4510-page-1
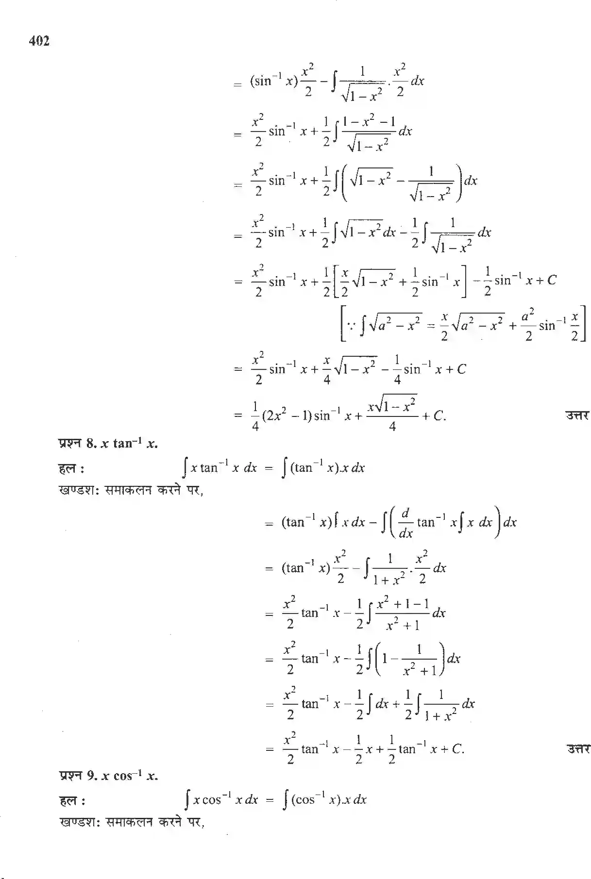
NCERT-Solution-Class-12-गणितII-समाकलन-4510-page-2
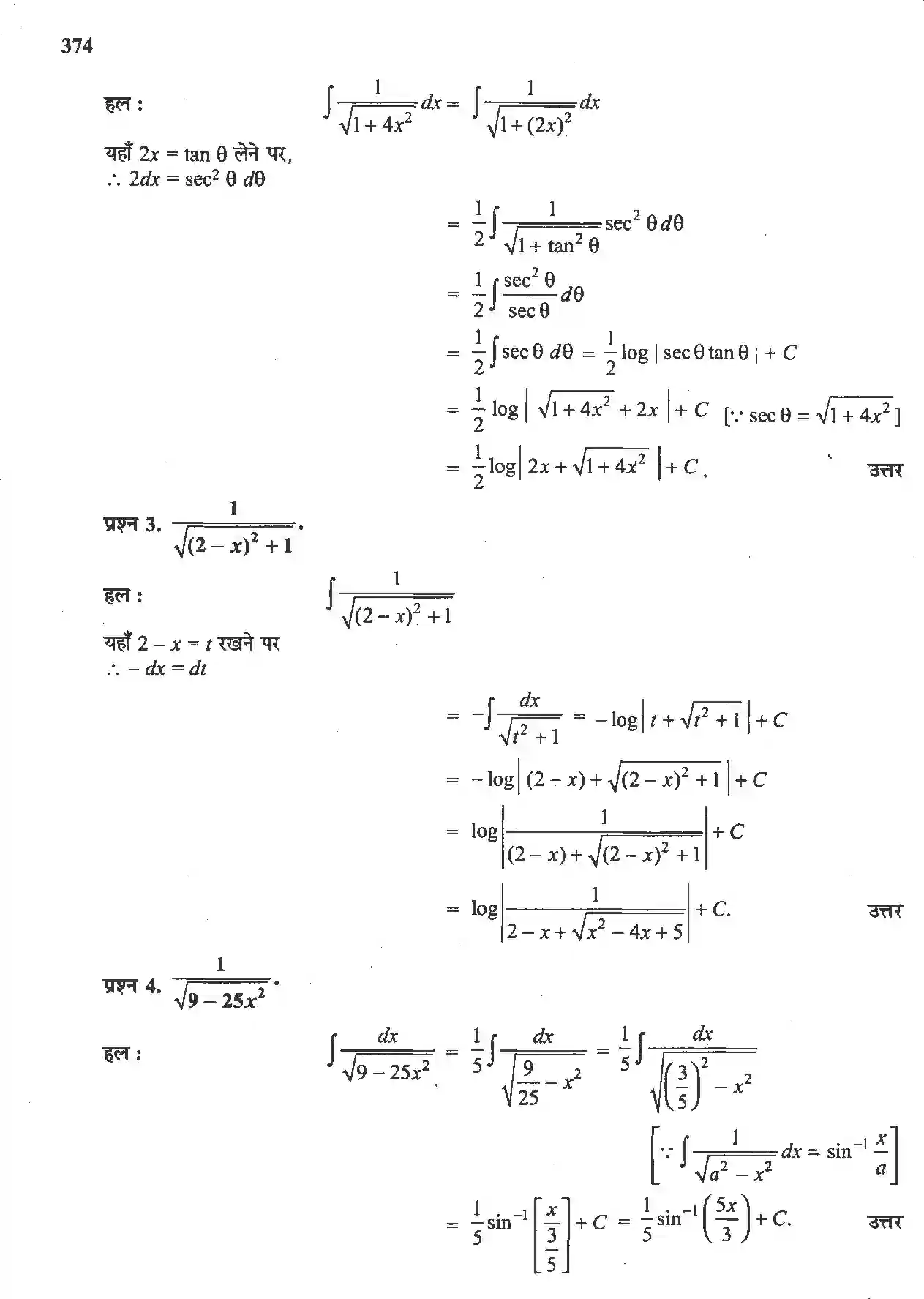
NCERT-Solution-Class-12-गणितII-समाकलन-4510-page-3
NCERT-Solution-Class-12-गणितII-समाकलन-4510-page-4
NCERT-Solution-Class-12-गणितII-समाकलन-4510-page-5
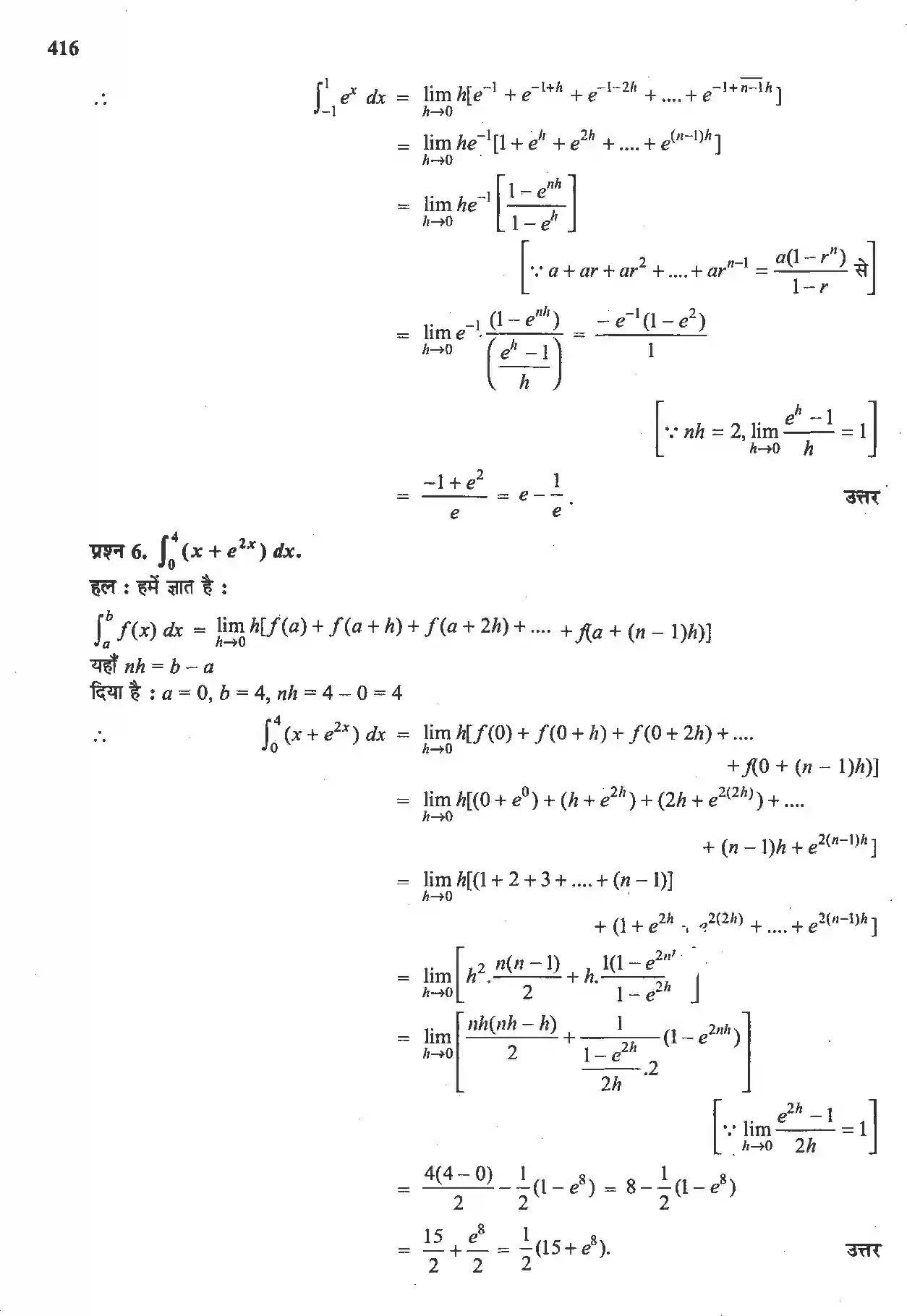
NCERT-Solution-Class-12-गणितII-समाकलन-4510-page-6
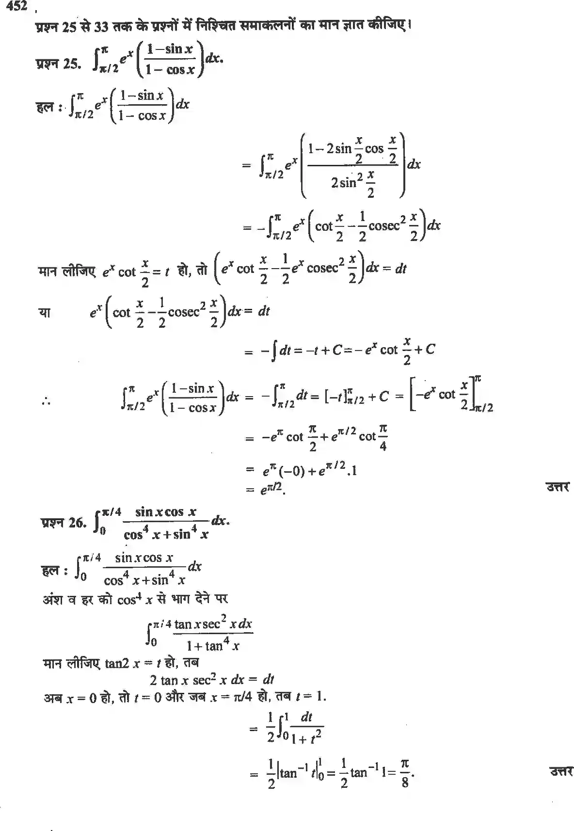
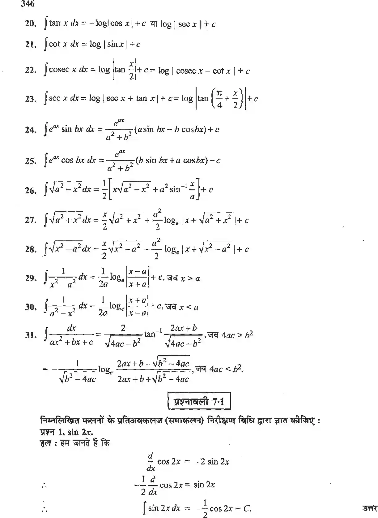
NCERT-Solution-Class-12-गणितII-समाकलन-4510-page-7
NCERT-Solution-Class-12-गणितII-समाकलन-4510-page-8
NCERT-Solution-Class-12-गणितII-समाकलन-4510-page-9
NCERT-Solution-Class-12-गणितII-समाकलन-4510-page-10
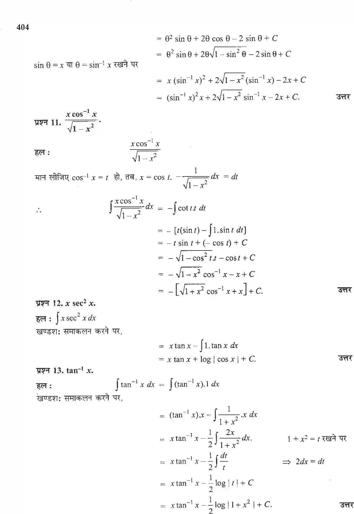
NCERT-Solution-Class-12-गणितII-समाकलन-4510-page-11
NCERT-Solution-Class-12-गणितII-समाकलन-4510-page-12
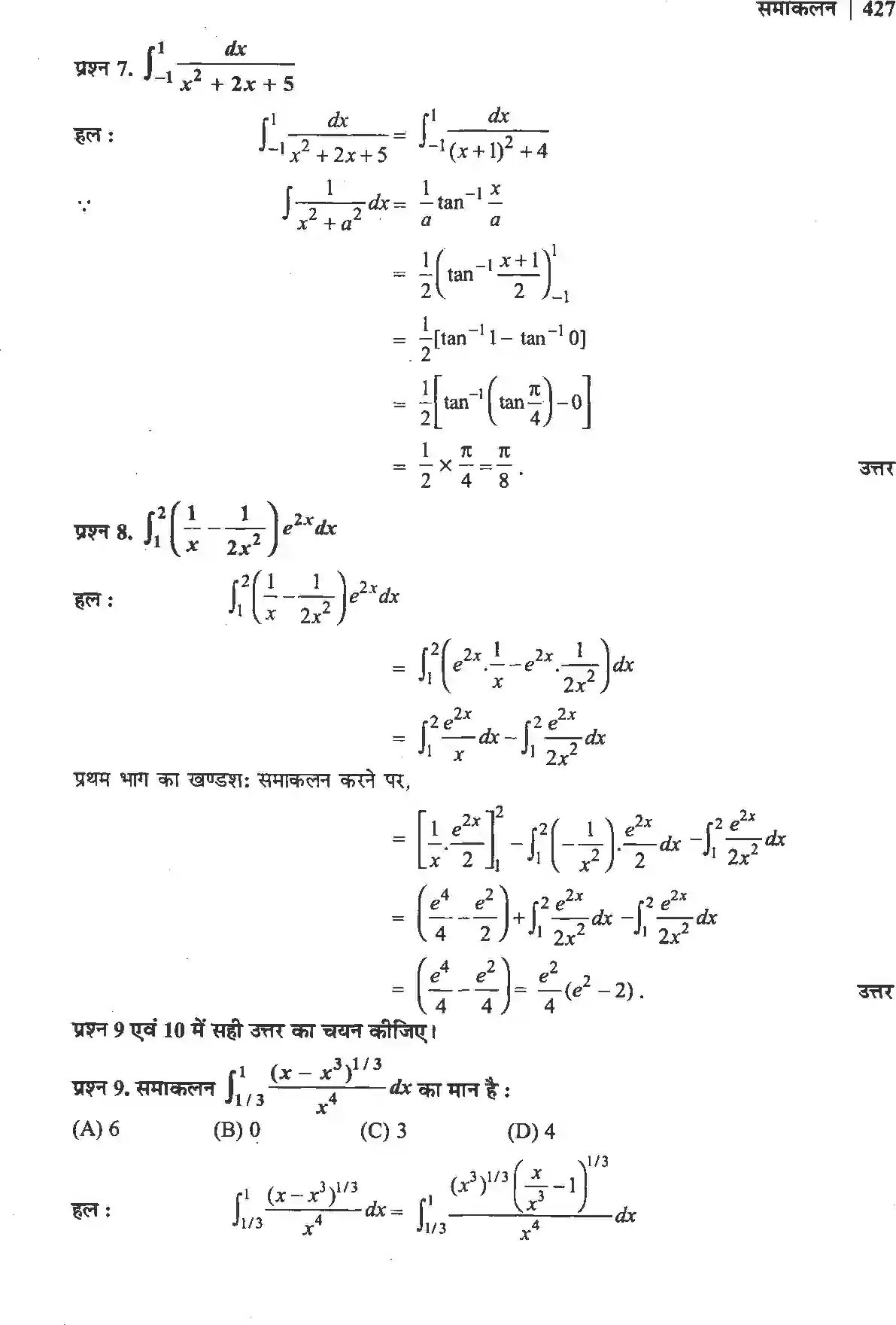
NCERT-Solution-Class-12-गणितII-समाकलन-4510-page-13
NCERT-Solution-Class-12-गणितII-समाकलन-4510-page-14
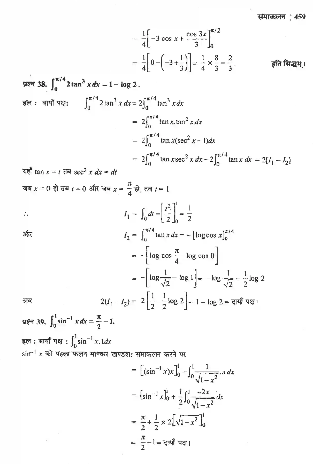
NCERT-Solution-Class-12-गणितII-समाकलन-4510-page-15
NCERT-Solution-Class-12-गणितII-समाकलन-4510-page-16
NCERT-Solution-Class-12-गणितII-समाकलन-4510-page-17
NCERT-Solution-Class-12-गणितII-समाकलन-4510-page-18
NCERT-Solution-Class-12-गणितII-समाकलन-4510-page-19
NCERT-Solution-Class-12-गणितII-समाकलन-4510-page-20
NCERT-Solution-Class-12-गणितII-समाकलन-4510-page-21
NCERT-Solution-Class-12-गणितII-समाकलन-4510-page-22
NCERT-Solution-Class-12-गणितII-समाकलन-4510-page-23
NCERT-Solution-Class-12-गणितII-समाकलन-4510-page-24
NCERT-Solution-Class-12-गणितII-समाकलन-4510-page-25
NCERT-Solution-Class-12-गणितII-समाकलन-4510-page-26
NCERT-Solution-Class-12-गणितII-समाकलन-4510-page-27
NCERT-Solution-Class-12-गणितII-समाकलन-4510-page-28
NCERT-Solution-Class-12-गणितII-समाकलन-4510-page-29
NCERT-Solution-Class-12-गणितII-समाकलन-4510-page-30
NCERT-Solution-Class-12-गणितII-समाकलन-4510-page-31
NCERT-Solution-Class-12-गणितII-समाकलन-4510-page-32
NCERT-Solution-Class-12-गणितII-समाकलन-4510-page-33
NCERT-Solution-Class-12-गणितII-समाकलन-4510-page-34
NCERT-Solution-Class-12-गणितII-समाकलन-4510-page-35
NCERT-Solution-Class-12-गणितII-समाकलन-4510-page-36
NCERT-Solution-Class-12-गणितII-समाकलन-4510-page-37
NCERT-Solution-Class-12-गणितII-समाकलन-4510-page-38
NCERT-Solution-Class-12-गणितII-समाकलन-4510-page-39
NCERT-Solution-Class-12-गणितII-समाकलन-4510-page-40
NCERT-Solution-Class-12-गणितII-समाकलन-4510-page-41
NCERT-Solution-Class-12-गणितII-समाकलन-4510-page-42
NCERT-Solution-Class-12-गणितII-समाकलन-4510-page-43
NCERT-Solution-Class-12-गणितII-समाकलन-4510-page-44
NCERT-Solution-Class-12-गणितII-समाकलन-4510-page-45
NCERT-Solution-Class-12-गणितII-समाकलन-4510-page-46
NCERT-Solution-Class-12-गणितII-समाकलन-4510-page-47
NCERT-Solution-Class-12-गणितII-समाकलन-4510-page-48
NCERT-Solution-Class-12-गणितII-समाकलन-4510-page-49
NCERT-Solution-Class-12-गणितII-समाकलन-4510-page-50
NCERT-Solution-Class-12-गणितII-समाकलन-4510-page-51
NCERT-Solution-Class-12-गणितII-समाकलन-4510-page-52
NCERT-Solution-Class-12-गणितII-समाकलन-4510-page-53
NCERT-Solution-Class-12-गणितII-समाकलन-4510-page-54
NCERT-Solution-Class-12-गणितII-समाकलन-4510-page-55
NCERT-Solution-Class-12-गणितII-समाकलन-4510-page-56
NCERT-Solution-Class-12-गणितII-समाकलन-4510-page-57
NCERT-Solution-Class-12-गणितII-समाकलन-4510-page-58
NCERT-Solution-Class-12-गणितII-समाकलन-4510-page-59
NCERT-Solution-Class-12-गणितII-समाकलन-4510-page-60
NCERT-Solution-Class-12-गणितII-समाकलन-4510-page-61
NCERT-Solution-Class-12-गणितII-समाकलन-4510-page-62
NCERT-Solution-Class-12-गणितII-समाकलन-4510-page-63
NCERT-Solution-Class-12-गणितII-समाकलन-4510-page-64
NCERT-Solution-Class-12-गणितII-समाकलन-4510-page-65
NCERT-Solution-Class-12-गणितII-समाकलन-4510-page-66
NCERT-Solution-Class-12-गणितII-समाकलन-4510-page-67
NCERT-Solution-Class-12-गणितII-समाकलन-4510-page-68
NCERT-Solution-Class-12-गणितII-समाकलन-4510-page-69
NCERT-Solution-Class-12-गणितII-समाकलन-4510-page-70
NCERT-Solution-Class-12-गणितII-समाकलन-4510-page-71
NCERT-Solution-Class-12-गणितII-समाकलन-4510-page-72
NCERT-Solution-Class-12-गणितII-समाकलन-4510-page-73
NCERT-Solution-Class-12-गणितII-समाकलन-4510-page-74
NCERT-Solution-Class-12-गणितII-समाकलन-4510-page-75
NCERT-Solution-Class-12-गणितII-समाकलन-4510-page-76
NCERT-Solution-Class-12-गणितII-समाकलन-4510-page-77
NCERT-Solution-Class-12-गणितII-समाकलन-4510-page-78
NCERT-Solution-Class-12-गणितII-समाकलन-4510-page-79
NCERT-Solution-Class-12-गणितII-समाकलन-4510-page-80
NCERT-Solution-Class-12-गणितII-समाकलन-4510-page-81
NCERT-Solution-Class-12-गणितII-समाकलन-4510-page-82
NCERT-Solution-Class-12-गणितII-समाकलन-4510-page-83
NCERT-Solution-Class-12-गणितII-समाकलन-4510-page-84
NCERT-Solution-Class-12-गणितII-समाकलन-4510-page-85
NCERT-Solution-Class-12-गणितII-समाकलन-4510-page-86
NCERT-Solution-Class-12-गणितII-समाकलन-4510-page-87
NCERT-Solution-Class-12-गणितII-समाकलन-4510-page-88
NCERT-Solution-Class-12-गणितII-समाकलन-4510-page-89
NCERT-Solution-Class-12-गणितII-समाकलन-4510-page-90
NCERT-Solution-Class-12-गणितII-समाकलन-4510-page-91
NCERT-Solution-Class-12-गणितII-समाकलन-4510-page-92
NCERT-Solution-Class-12-गणितII-समाकलन-4510-page-93
NCERT-Solution-Class-12-गणितII-समाकलन-4510-page-94
NCERT-Solution-Class-12-गणितII-समाकलन-4510-page-95
NCERT-Solution-Class-12-गणितII-समाकलन-4510-page-96
NCERT-Solution-Class-12-गणितII-समाकलन-4510-page-97
NCERT-Solution-Class-12-गणितII-समाकलन-4510-page-98
NCERT-Solution-Class-12-गणितII-समाकलन-4510-page-99
NCERT-Solution-Class-12-गणितII-समाकलन-4510-page-100
NCERT-Solution-Class-12-गणितII-समाकलन-4510-page-101
NCERT-Solution-Class-12-गणितII-समाकलन-4510-page-102
NCERT-Solution-Class-12-गणितII-समाकलन-4510-page-103
NCERT-Solution-Class-12-गणितII-समाकलन-4510-page-104
NCERT-Solution-Class-12-गणितII-समाकलन-4510-page-105
NCERT-Solution-Class-12-गणितII-समाकलन-4510-page-106
NCERT-Solution-Class-12-गणितII-समाकलन-4510-page-107
NCERT-Solution-Class-12-गणितII-समाकलन-4510-page-108
NCERT-Solution-Class-12-गणितII-समाकलन-4510-page-109
NCERT-Solution-Class-12-गणितII-समाकलन-4510-page-110
NCERT-Solution-Class-12-गणितII-समाकलन-4510-page-111
NCERT-Solution-Class-12-गणितII-समाकलन-4510-page-112
NCERT-Solution-Class-12-गणितII-समाकलन-4510-page-113
NCERT-Solution-Class-12-गणितII-समाकलन-4510-page-114
NCERT-Solution-Class-12-गणितII-समाकलन-4510-page-115
NCERT-Solution-Class-12-गणितII-समाकलन-4510-page-116
NCERT-Solution-Class-12-गणितII-समाकलन-4510-page-117
NCERT-Solution-Class-12-गणितII-समाकलन-4510-page-118

Other Chapters solutions of Class 12 गणितII of NCERT

Here are other chapters available for study and download for students of Class 12 for गणितII subject, click the link below to access the same:
समाकलन
समाकलनों के अनुप्रयोग
अवकल समीकरण
सदिश बीजगणित
त्रिविमीय ज्यामिति
रैखिक प्रोग्रामन
प्रायिकता

Share a Word about Us

Facebook Twitter Whatsapp

;